学院要闻

当前位置: 网站首页 > 学院要闻 > 正文

喜讯|闽南师大黄亮博士研究成果发表于国际心理学SSCI期刊Current Psychology

来源: 发布时间:2020-04-06

    据悉,太阳成集团tyc33455ccww教育科学学院心理系黄亮博士、副教授以第一作者身份在国际SSCI期刊Current Psychology上发表学术论文Gender affects understanding kind and hostile intentions based on dyadic body movements,是目前教科院心理学系于2020年发表在心理学国际期刊上的最新力作。

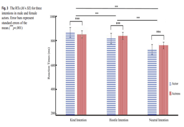
该研究关注了人类理解双人肢体运动表达的友好和敌对意图时的性别差异的有趣现象。研究结果发现存在显著的女性优势,女性理解友好和敌对意图的表现要优于男性。演员角色的性别也有着重要影响,理解女性友好意图要快于理解男性的,而理解男性敌对意图要快于理解女性的。该研究为加深人类理解关于与神经性精神障碍有关的性别脆弱性有一定贡献。该论文系国家社会科学基金重大项目(19ZDA361)和福建省哲学社会科学基金项目(FJ2018C030)等项目成果之一。黄亮博士的研究生徐珺杰、李珺翔和杜方园等人员为该研究做出了一定贡献!

黄亮博士是我校认定的心理学学术骨干教师(第三批),福建省应用认知与人格重点实验室核心成员,兼任福建省社会心理学会理事、《心理学报》和《心理与行为研究》等国内CSSCI期刊的审稿专家,是支撑和推动我校心理学系建设和发展的重要力量,长期从事正常人群和自闭症者等特殊群体的高级社会认知功能研究,未来将进一步探索社交意图理解如何影响人际信任及合作行为的脑神经机制。

地址:漳州市芗城区县前街36号

电话:0596-2527207

公众官方微信

Copyright  太阳集团tyc33455ccww(Macau)品牌官网-Suncity Club 版权所有